2020年6月1日,国际期刊Cartography and Geographic Information Science正式发表了学术论文“How does gender affect indoor wayfinding under time pressure?”。该论文由老司机论坛 2016级本科生周艺萱、程雪雁、朱磊与2017级硕士生秦桐共同完成,指导老师为董卫华教授。
该论文针对日常生活中在时间压力下的室内寻路问题,通过真实环境下的对照试验(图1),利用眼动追踪和出声思维分析的方法,得到了不同性别个体在有无时间压力下寻路效率、寻路策略、寻路信息搜寻与提取的差异。

图1 真实实验场景(位于海淀黄庄地铁站)
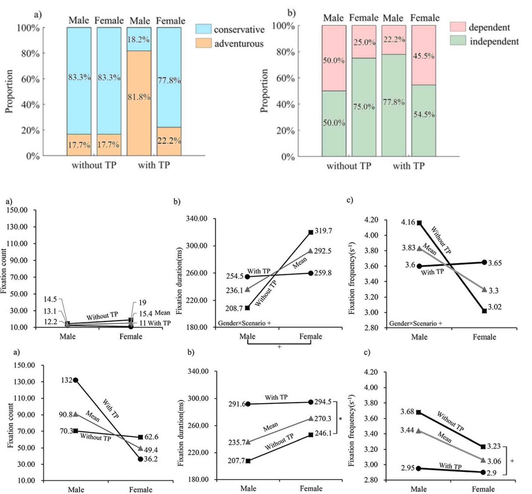
研究发现,时间压力未能使寻路效率提高;男性在有时间压力的情况下更倾向于冒险的寻路策略,而女性一直采取保守寻路策略。在寻路信息搜寻与提取方面,男性信息搜索效率整体高于女性;而信息提取效率受到时间压力的影响:无时间压力时男性提取指示牌信息的效率更高,而有时间压力时,女性与男性提取地图信息的效率均会降低(图2)。该研究弥补了目前关于性别差异、时间压力对室内寻路行为影响的不足,丰富了对室内寻路与空间认知的理解,对于室内寻路标识系统的设计具有指导意义。

图2 基于眼动跟踪、出声思维和访谈记录的结果
本研究由国家自然科学基金(国家自然科学基金基金项目,批准号41871366)和国家重点研究开发项目(批准号2017YFB0503602) 以及北京市环境遥感与数字城市实验室开放课题资助。
论文链接:Yixuan Zhou, Xueyan Cheng, Lei Zhu, Tong Qin, Weihua Dong & Jiping Liu (2020) How does gender affect indoor wayfinding under time pressure?, Cartography and Geographic Information Science, 47:4, 367-380, DOI: 10.1080/15230406.2020.1760940