2020年6月26日,国际期刊Meteorological Applications接收了学术论文“Reducing Air Pollution Increases Local Diurnal Temperature Range: A Case Study of Lanzhou, China”。该论文由老司机论坛 2016级本科生程雪雁、兰天涵共同完成,指导老师为毛睿副教授和龚道溢教授。
兰州市一度是我国空气污染十分严重的城市之一。兰州市从2012年开始实施大规模的大气污染治理措施,降尘量和二氧化硫等污染物浓度明显降低,城市大气环境得到改善。研究人员利用榆中县(距离兰州市约35.4km)作为参考,通过比较2009-2011年(大气治理前)和2013-2015年(大气治理后)两个时段兰州站与榆中站气温差的变化,得出兰州市大气污染治理对气温的可能影响,这一方法最大限度地减少了大尺度环流变化、城市化和高程等因素的影响。

图1 兰州市与榆中县的地理位置
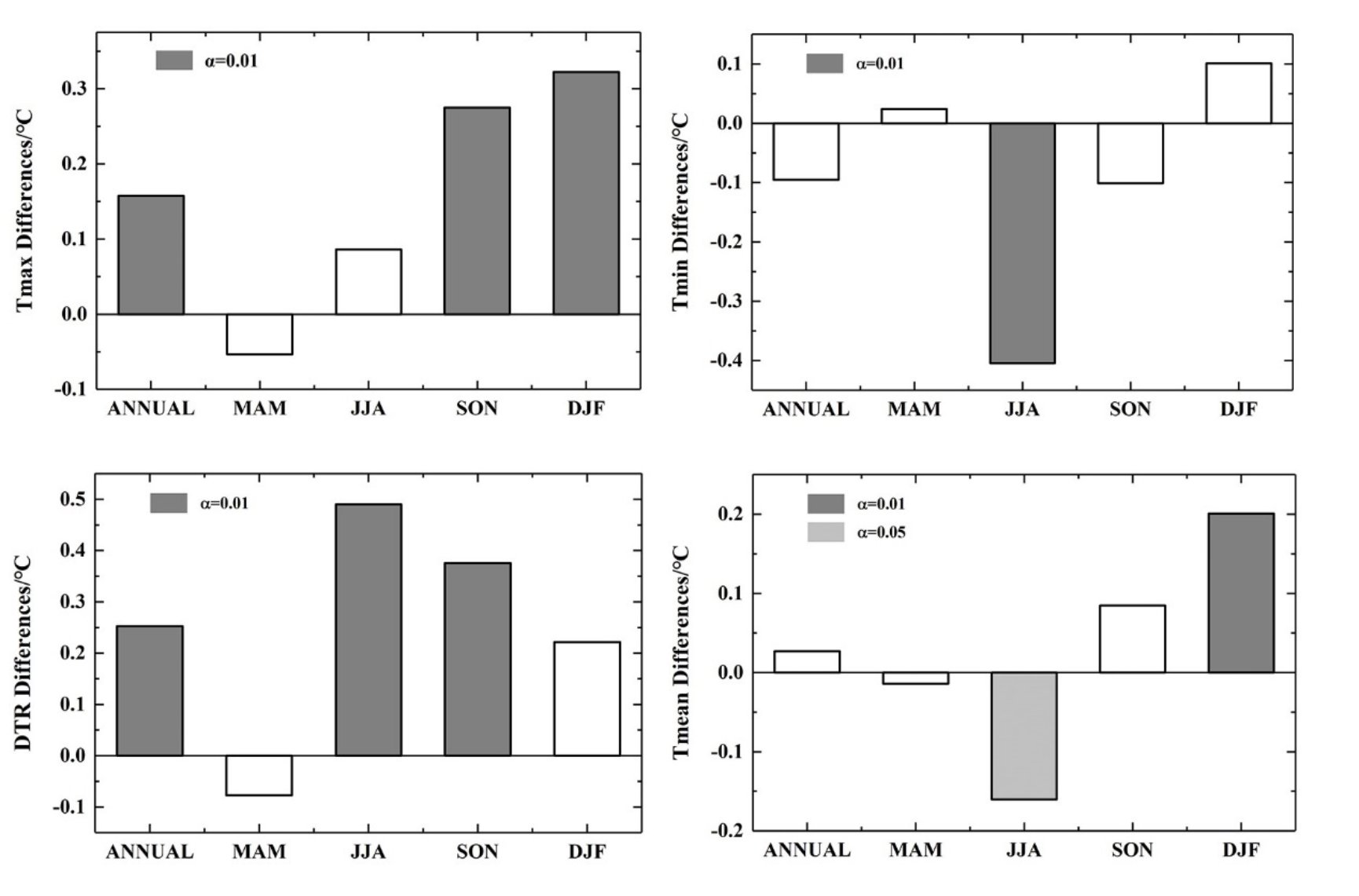
结果表明,大气治理之后,相较于榆中,兰州夏季日最低气温降低了0.40℃,冬季日最高气温增加了0.32℃,温度日较差在夏季(冬季)增加了0.50(0.22)℃。当去除降水影响后,这一结果更为显著。日最高气温增加可能与气溶胶浓度减少引起的向下太阳短波辐射增多有关,夏季日最低气温降低可能与夜间小雨频次增多有关。该研究基于观测数据分析得出,对我国西部地区城市大气污染治理对气象要素影响的研究提供了借鉴。

图2 2009-2011年和2013-2015年年平均(ANNUAL、)春季(MAM)、夏季(JJA)、秋季(SON)和冬季(DJF)兰州站和榆中站各类气温差的变化(2013-2015年减去2009-2011年)
该研究得到国家重点研发计划项目(2016YFA0602401)、国家自然科学基金(41571039)和老司机论坛 国家级本科生科研训练与创新创业项目资助。
论文链接:Cheng Xueyan, Lan Tianhan, Mao Rui, et al. (2020). Reducing Air Pollution Increases Local Diurnal Temperature Range: A Case Study of Lanzhou, China. Meteorological Applications(Accepted). DOI: 10.1002/met.1939.